- 6 Marks
Question
Klassiq Fashion Plc has raised GH¢10 million from a share offer to its shareholders to finance market expansion projects in West Africa. The money will be deposited into an interest-bearing account and withdrawn in bits within regular time intervals during the next two years. The first withdrawal will occur at the end of the first quarter. Subsequent withdrawals will occur at the end of each of the subsequent quarters for the next two years. The fund in the account will earn interest at 18% per annum with quarterly compounding.
Required:
i) Suppose the first withdrawal amount is GH¢2.25 million. Compute the account balance immediately after the first withdrawal. (3 marks)
ii) Suppose subsequent quarterly withdrawals from the account are even for the next two years, compute the size of each withdrawal. (3 marks)
Answer
i) Computation of account balance immediately after the first withdrawal:
Where:
- P0 = GH¢10,000,000 (Initial amount)
- i=18% (Annual interest rate)
- m=4 (Quarterly compounding)
- n=0.25 (First quarter)

Computation = 2 marks; Final answer = 1 mark = 3 marks)
ii) Computation of the size of each quarterly withdrawal:
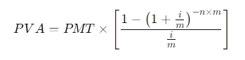
Using the Present Value Annuity (PVA) formula:

Where:
- PVA = Initial deposit = GH¢10,000,000
- i=18% (Annual interest rate)
- m=4 (Quarterly compounding)
- n=2 (Duration in years)

That is, the company would withdraw GH¢1,516,096.53 at the end of each quarter to use up the fund in the account over two years.
(Computation = 2 marks; Final answer = 1 mark = 3 marks)
- Tags: Compound Interest, Interest-bearing account, Withdrawal calculation
- Level: Level 2
- Topic: Simple interest and compound interest
- Series: MAR 2023
- Uploader: Theophilus