The directors of Fameko Ltd (Fameko), a courier delivery services company based in Ghana, are considering a proposal for setting up a subsidiary in the United States of America to provide courier services in North America. The capital of this new subsidiary will be structured as 20% equity and 80% debt.

The directors are not sure of what would be an appropriate discount rate for appraising the North American business. You have been asked to recommend an appropriate discount rate for this project. You have gathered the following information for this exercise.

  • Competition in the U.S. Courier industry:
    The U.S. courier services industry is highly competitive. If Fameko sets up in the U.S., its main competitor will be ExFed Corporation. ExFed’s capital structure is 70% equity and 30% debt.
  • Market risk:
    The following statistics have been computed from historical excess returns on the equity stock of ExFed Corporation and that on the S&P 500 Index (a proxy for the market portfolio):
S&P 500 Index ExFed Equity Stock
Average return 0.0628 0.0321
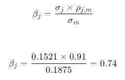
Standard Deviation 0.1875 0.1521
Sample Variance 0.0352 0.0231
Kurtosis -1.4335 -1.1121
Skewness -0.2178 -0.1601

You analyzed the correlation between the excess returns on ExFed and excess returns on the S&P 500 Index and obtained a correlation coefficient of 0.91.

  • The annual risk-free rate and market return:
    The annual rate of interest on the 10-year U.S. Treasury bond is 2.1%. The expected return on the S&P 500 Index is 7%.
  • Taxation:
    ExFed pays corporate income tax at the rate of 30%. However, the effective corporate income tax rate on profits from Fameko’s North American operations will be 35%.

Required:

i) Compute the equity beta of ExFed. (3 marks)

ii) Derive an appropriate equity beta for Fameko’s U.S. subsidiary. (4 marks)

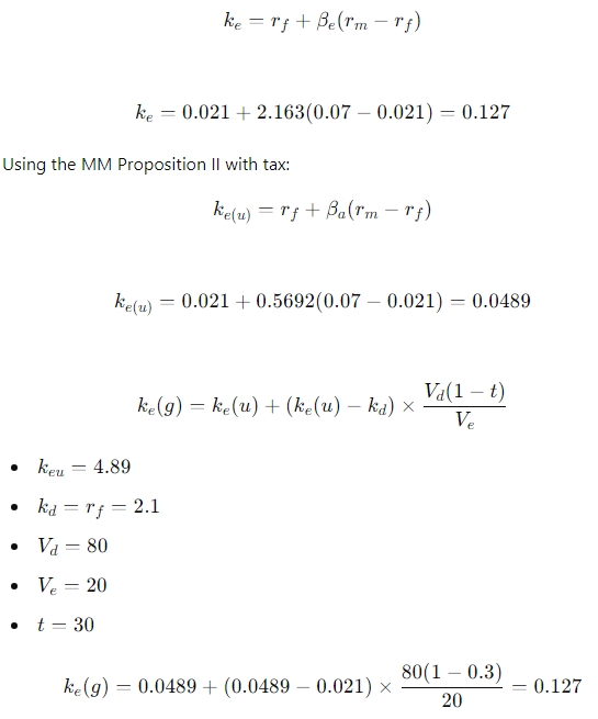
iii) Using the capital asset pricing model or the Modigliani and Miller Proposition II with tax, compute an appropriate cost of equity for Fameko’s U.S. subsidiary. (3 marks)

i) Equity beta:

ii) Appropriate equity beta for Fameko’s subsidiary:

Since Fameko’s subsidiary would be carrying out a similar business, the level of business risk will be the same as that of ExFed. However, since the capital structure of the subsidiary will differ from that of ExFed, the financial risk will also differ. We can derive an appropriate equity beta for Fameko’s subsidiary by un-gearing the equity beta of ExFed and then re-gearing it to reflect the capital structure of the subsidiary:

iii) The appropriate required rate of return on the equity of the Ghana subsidiary:

Using CAPM: