- 17 Marks
Question
The study time in minutes and the number of errors on a mock examination paper made by ten (10) ICAG students are given below:
| Student | 1 | 2 | 3 | 4 | 5 | 6 | 7 | 8 | 9 | 10 |
|---|---|---|---|---|---|---|---|---|---|---|
| Study Time (X) | 90 | 100 | 130 | 150 | 180 | 200 | 220 | 300 | 350 | 400 |
| Errors (Y) | 25 | 28 | 20 | 20 | 15 | 12 | 13 | 10 | 8 | 6 |
(i) Determine how many errors a student would make in the examination if he studied for 280 minutes.
(ii) Determine the expected change in the number of errors if there is a 1-minute change in study time.
Answer
The regression equation Y=a+bXY = a + bXY=a+bX is calculated as follows:
b = 
a = 
Thus, the regression equation is:
Y = 29.27 − 0.064X
(i) When X=280X the number of errors Y is:
Y = 29.27 − 0.064 (280) = 11.35
Therefore, a student studying for 280 minutes would make approximately 11 errors.
(ii) The expected change in the number of errors for a 1-minute change in study time is given by the regression coefficient b=−0.064b
Thus, a 1-minute change in study time is expected to result in a 0.064 fewer errors.
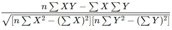
(iii) The formula for the Pearson Product Moment Correlation Coefficient rrr is:
r = 
Substituting the given values:
r = 
Thus, the Pearson Product Moment Correlation Coefficient is -0.9261.
(iv) The coefficient of determination is calculated as:
![]()
The coefficient of determination is 85.77%, which means 85.77% of the variation in the number of errors made can be explained by the study time.
- Tags: Errors Prediction, Regression Analysis, Study Time
- Level: Level 1
- Topic: Forecasting
- Series: NOV 2018
- Uploader: Kwame Aikins