Skip to content
knowsia logo
  • Home
  • Programs
    • Student Dashboard
    • Professional Tuition
    • Webinars and CPDs
    • Certificate Courses
    • All Courses
  • Question Bank
    • Past Questions
    • Case Studies
    • Study Questions
    • QB Pricing
  • Knowsia AI
  • Community
  • Blog
  • About
  • My Account
  • Home
  • Programs
    • Student Dashboard
    • Professional Tuition
    • Webinars and CPDs
    • Certificate Courses
    • All Courses
  • Question Bank
    • Past Questions
    • Case Studies
    • Study Questions
    • QB Pricing
  • Knowsia AI
  • Community
  • Blog
  • About
  • My Account
knowsia logo
  • Home
  • Programs
    • Student Dashboard
    • Professional Tuition
    • Webinars and CPDs
    • Certificate Courses
    • All Courses
  • Question Bank
    • Past Questions
    • Case Studies
    • Study Questions
    • QB Pricing
  • Knowsia AI
  • Community
  • Blog
  • About
  • My Account
  • Home
  • Programs
    • Student Dashboard
    • Professional Tuition
    • Webinars and CPDs
    • Certificate Courses
    • All Courses
  • Question Bank
    • Past Questions
    • Case Studies
    • Study Questions
    • QB Pricing
  • Knowsia AI
  • Community
  • Blog
  • About
  • My Account
  • 3 Marks

QT – Nov 2017 – L1 – Q1b – Basic Mathematics,

Solve the given algebraic expression.

  • ICA (Ghana)
  • PROFESSIONAL PROGRAM
  • QUANTITATIVE TOOLS IN BUSINESS
Question

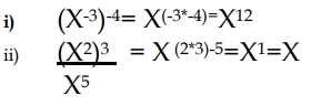
Solve the following expression:

Answer

  • Tags: Algebra, Powers and Indices
  • Level: Level 1
  • Topic: Basic Mathematics
  • Series: NOV 2017
  • Uploader: Theophilus
Back to all questions
knowsia

Take control of your business data with insight and in-depth understanding by taking this course. 

Our Offerings

  • Professional Tuition
  • Question Bank
  • CPDs and Webinars
  • Corporate Trainings
  • Certificate Courses
  • Zoom Meetings

Contact Info

  • +233203701923
    +233543919232
  • info@knowsia.com

My Account

  • My Account
  • Manage Subscriptions
  • Tutors Dashboard
  • Become An Affiliate
  • Affiliate Dasboard
  • Login/Logout

Get In Touch

Follow us on our social media and get daily updates.

Facebook-f Twitter Linkedin-in Envelope

Forgot Password?

admin

Sign In

Pick a Form

Professional Tutor Application Form
Academic Tutor Application Form
Student Tutor Application Form