- 9 Marks
Question
Mr. Agbagba, an ICAG qualified member, and his wife, an ICAEW qualified member, attended an interview for two vacancies for the post of College Finance Officer at a Private University. The probability of the interview panel selecting the man is 1/7, and that of the wife is 1/5.
Required:
Assuming the event of selecting a man and selecting a woman are independent, determine the probability that:
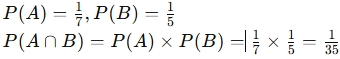
i) Both of them will be selected. (3 marks)
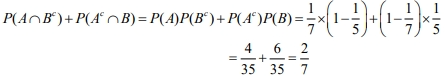
ii) Only one of them will be selected. (3 marks)
iii) None of them will be selected. (3 marks)
Answer
i) Let A be the event a man is selected and B be the event a woman is selected. Then,

ii)

iii)
![]()
- Topic: Probability
- Series: NOV 2016
- Uploader: Kwame Aikins