a) The marginal revenue function of a manufacturing company is given by:

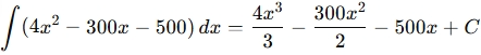
The marginal cost function is given by:

Let x be the number of items either produced or sold.

Required:
i) Calculate the revenue generated when 50 items are sold. (2 marks)
ii) Calculate the number of items that will yield maximum revenue. (4 marks)
iii) Calculate the total revenue if 100 items are produced. (4 marks)
iv) Calculate the total profit for the 100 items. (4 marks)
v) If a tax of 20% is imposed on each item produced, find the cost of 100 items. (6 marks)

 

i) Revenue generated when 50 items are sold:
The total revenue TR is the integral of the marginal revenue function:

TR =

When 50 items are sold, substituting x = 50 

TR =

Thus, the revenue generated is GH₵62,083.

ii) Number of items that yield maximum revenue:
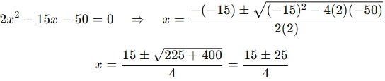
To find the number of items that yield maximum revenue, set the marginal revenue equal to zero:

MR =

x1= 10, x2 = 2.5 (reject negative value)

Thus, the number of items that yield maximum revenue is 10 items.

iii) Total revenue if 100 items are produced:
Substitute x = 100 into the total revenue function:

TR = = 586,666.67

Thus, the total revenue for 100 items is GH₵586,666.

iv) Total profit for 100 items:
The total profit π is the difference between total revenue and total cost. The total cost is the integral of the marginal cost function:

TC =

Substitute x = 100 = 

π = TRTC = 586,666.67 (803,333.33)= 803,333.33

Thus, the total profit for 100 items is GH₵803,333.33.

v) Cost of 100 items after 20% tax:

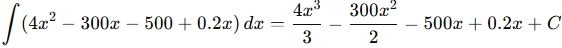
The new cost function with a 20% tax is:

TC =

Substitute x = 100

TC =

Thus, the total cost for 100 items after the tax is GH₵216,646.67.