- 10 Marks
Question
The table below shows the marks (%) scored in QTB by some candidates who wrote the ICAN Professional examination in May 2016 diet:
| Marks % | Number of Candidates |
|---|---|
| 20–29 | 7 |
| 30–39 | 17 |
| 40–49 | 13 |
| 50–59 | 9 |
| 60–69 | 4 |
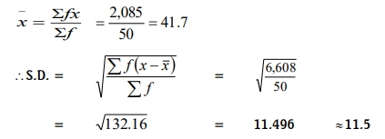
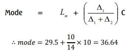
If the mean mark is 41.7%, calculate the mode and Pearson’s coefficient of skewness. (10 Marks)
Answer

Modal class is 30 – 39

ALITER (Alternative Solution) (for calculating only the standard deviation)


Pearson‟s coefficient of skewness

- Tags: Mode, Pearson’s Coefficient, Skewness
- Level: Level 1
- Topic: Data Collection
- Series: MAY 2017
- Uploader: Kwame Aikins
