- 10 Marks
Question
i. Given the following initial basic tableau of a transportation problem:

Identify the non-basic variables and compute their corresponding
relative cost coefficients. (4marks)
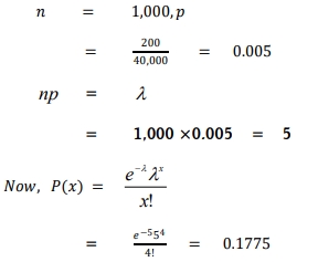
ii. A bag contains 39,800 white disks and 200 black disks from which
1,000 disks are taken at random. Calculate the probability that the
sample contains 4 black disks. (6marks)
Answer
From the given initial basic tableau, the non-basic variables
are x13 and x21.
Their relative cost coefficients are computed as follows:
For x13:
For x13 relative cost coefficient

For x21:
For x21 relative cost coefficient

C21 = 3(+1) +2 (-1) +4 (+1) +6 (-1) = 3 – 2 + 4 – 6 = 1
b. (ii)

- Topic: Operations Research
- Series: MAY 2017
- Uploader: Kwame Aikins