- 10 Marks
Question
a. A manufacturing company has purchased a machine generating earnings (₦’000) at time t of
, where t is in years. The repair and maintenance cost at time t is ![]()
You are required to:
i. Determine when the machine should be replaced, assuming it has a zero salvage value. (4 Marks)
ii. Determine the total net earnings, including the cost of repairs and maintenance within the period of 11 years. (6 Marks)
Answer
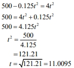
i) The machine should be replaced when the net earnings (which is the difference between the earnings and repair/maintenance costs) becomes zero or negative. To find the replacement time, solve for the time t when earnings E (t) equals the cost of repairs and maintenance.

Therefore, the machine should be replaced after approximately 11 years
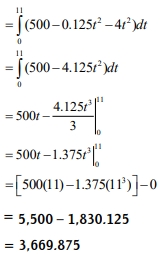
ii. The total net earnings can be calculated by integrating the net earnings function over the 11-year period:
The total net earnings (i.e the gain) = ![]()

Net earnings = N3,669,875
- Tags: Depreciation, Machine Replacement, Net Earnings
- Level: Level 1
- Topic: Mathematics
- Series: MAY 2017
- Uploader: Kwame Aikins