- 8 Marks
Question
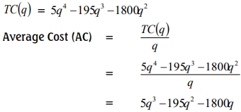
MANDILAS Ventures has established its total cost function to be:
![]()
Determine the level of output that will give minimum average cost. (8 Marks)
Answer


- Tags: Average Cost, Cost Analysis, Output Level, Total Cost Function
- Level: Level 1
- Topic: Operations Research
- Series: NOV 2015
- Uploader: Dotse