The annual expenditures (N’000) of a family from 2000 to 2009 were as follows:

Year Expenditure (N’000)
2000 600
2001 610
2002 580
2003 590
2004 480
2005 560
2006 550
2007 620
2008 490
2009 530

Required:
a. Setting year 2000 as , fit the least squares line for the annual expenditures.
(15 marks)

b. Forecast what the expenditure will be in the years:
i. 2012 (2½ marks)
ii. 2016 (2½ marks)

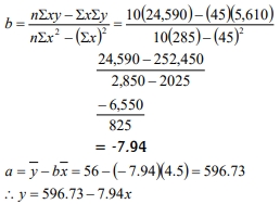
a)

Let the regression model be y = a + bx

b. Forecast:

(i) In 2012, x = 12 and y = 596.73 – 7.94 (12) = 501.45

i.e y = N501,450

(ii) In 2016, x = 16 and y = 596.73 – 7.94(16) = 469.69

i.e = N469,690