- 20 Marks
Question
MICRA Manufacturing Company makes a product named as VATA. The records of some of the manufacturing expenses are easily identified as fixed or directly varied with production. The cost accountant of the company is confronted with the problem of preparing a budget for the coming year and wishes to determine the fixed and variable elements of the mixed factory overhead.
The following monthly information in respect of output and mixed factory overhead are provided as follows:
| MONTH | NUMBER OF UNITS (x) | MIXED FACTORY OVERHEAD (y) |
|---|---|---|
| JANUARY | 150 | 80 |
| FEBRUARY | 200 | 100 |
| MARCH | 300 | 135 |
| APRIL | 250 | 125 |
| MAY | 300 | 130 |
| JUNE | 250 | 120 |
| JULY | 350 | 140 |
| AUGUST | 300 | 125 |
| SEPTEMBER | 250 | 115 |
| OCTOBER | 150 | 80 |
Required:
a. Calculate the fixed and variable elements of the above mixed factory overhead using the high and low method. (5 Marks)
b. Use the linear regression analysis and determine the line of best fit. (15 Marks)
Answer
a. Using High and Low Methods

Total Fixed Cost

b. Linear Regression Analysis
- Data Preparation:
| Month | Units (x) | Cost (y) | x2x^2x2 | xyxyxy |
|---|---|---|---|---|
| January | 150 | 80 | 22,500 | 12,000 |
| February | 200 | 100 | 40,000 | 20,000 |
| March | 300 | 135 | 90,000 | 40,500 |
| April | 250 | 125 | 62,500 | 31,250 |
| May | 300 | 130 | 90,000 | 39,000 |
| June | 250 | 120 | 62,500 | 30,000 |
| July | 350 | 140 | 122,500 | 49,000 |
| August | 300 | 125 | 90,000 | 37,500 |
| September | 250 | 115 | 62,500 | 28,750 |
| October | 150 | 80 | 22,500 | 12,000 |
| Total | 2,500 | 1150 | 665,000 | 300,000 |
2. Calculate the slope b (variable cost per unit):
b = 

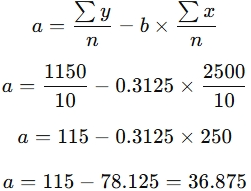
3. Calculate the intercept a (fixed cost):

4. Line of Best Fit:
y = 36.875 + 0.3125 x
The fixed cost component is N36.88, and the variable cost per unit is N0.31.
- Tags: Cost behavior, Cost Estimation, High-Low Method, Linear Regression
- Level: Level 1
- Topic: Forecasting Techniques
- Series: MAY 2016
- Uploader: Kwame Aikins